相信很多患者都被身边的亲戚朋友,安利各种排胆结石的偏方,殊不知,都是假的!假的!
今天四川十大外科名医、四川结石病医院肝胆二科主任何明刚为您详细解答这个问题——吃什么药/有哪些偏方能排出胆结石呢?文章太长不想看?那就直接咨询在线医生吧!
1、 所有的偏方药物都不能完全排出胆结石,反而有可能使病情更加严重。
2、 鸡内金、南瓜藤等一系列偏方没有经过科学验证,没有通过国家检验标准,无法保证任何疗效。
3、 幻想用某样东西来溶石的,用你们聪明的大脑想一下,像结石这么硬的东西都能化掉,你的胆囊居然还完好无损,精钢铁胆吗?
传说:隔壁邻居的大舅子的二姨的妹妹说,多吃酸的能把胆结石化掉,所以要多吃柠檬、多喝苹果醋。
真相:酸性物质不能溶解胆结石,真的不能!
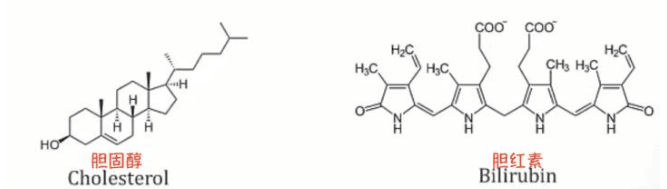
胆汁主要是由胆红素、胆汁盐、胆固醇这三种成分组成的。
这三种成分之间巧妙的平衡,使得胆汁可以保持液体的状态。
如果平衡被打乱,就会有某一部分沉淀出来,形成结石。点击咨询,胆结石久拖不治会怎么样?
要知道80%左右的胆结石是胆固醇结石,酸能融化胆固醇???恕小编书读的少,从来没有听过这个理论。

传说:你听说没?鸡内金和金钱草治疗胆结石就像灵丹妙药!保证管用!
真相:鸡内金是一种增强消化能力的中草药,而金钱草有利尿作用,还能清热解毒、散瘀消肿,然而这两个作用和胆结石有啥关系?消化好了就能排出胆结石?还是说小便多了结石就没了?
八竿子都打不着的作用关系,被鼓吹的神乎其神,你可千万不要上当。
还能怎么办?一定要科学治疗啊!手术是国际公认的治疗胆结石的科学手段。但是,你不要怕,这个手术不切胆、不开刀、身体恢复飞,重点是术后没有任何疤痕。
经脐隐瘢痕保胆取石术手术设备更加精细,直径只有5毫米,通过在患者肚脐处穿刺出一个小孔,经这个小孔建立微通道进入胆囊,利用先进的内镜取石设备完成取石手术,最大程度满足患者对创伤小、恢复迅速、完美无痕等期望。点击咨询,选择保胆是否有什么限制要求?
不伤身体任何器官、不用担心术后并发症、不需住院太长时间、不会花费太多费用,关键是术后看不到任何疤痕,这就是无痕保胆取石术能带给你的直接好处,解决胆结石其实真的不麻烦,所以你还在纠结和瞎折腾什么呢?
当然是结石病专科医院——四川结石病医院咯!
好技术
四川结石病医院率先在西南地区引进保胆取石技术,并在西南结石病研究院、国内外优秀专家学者的支持下,一步步将保胆技术升级,现在已经是无痕保胆取石术了。点击这里,可咨询保胆取石的费用详情
顾名思义,仅需在肚脐处穿刺一个小孔就能把胆结石取出干净,一点都不伤胆,术后你还保留胆囊及胆囊功能,依旧是“有胆之人”;!
这个技术还被誉为“特殊工种的救星”;,因为诸多特殊工种,比如飞行员、海军、潜水员等必须要保留完整器官、没有任何疤痕才能被选上哦~我要报考特殊工种,这个方法适不适合我?
好专家
四川十大外科名医2位在四川结石病医院,你的保胆手术有可能是他们主刀哦!提前预约专家亲诊→点击这里
并且上海复旦大学附属东方医院的胡海教授、成都军区总医院田伏洲教授等等国内外著名的保胆宗师都是四川结石病医院的特聘专家,会参与联合会诊哦。
你足不出户就能让这些名医大咖来给你看病了,这个福利只在四川结石病医院。
好医院
四川结石病医院获得了卫生部原副部长孙隆椿、国家计生委原副主任吴景春亲切关怀,8年来,成功保胆上万例,到处都能打听到。
咨询电话:028-61199999